皮膚是一個完整的屏障,是可以阻止任何異物進入身體的主要防御機制。其中角質層由于其獨特的結構,即角質層的緊密堆積和連接等,成為了阻礙經皮滲透的關鍵生理屏障。為克服這一阻礙,有多種研究表明,可與納米載體、特殊的透皮給藥裝置、滲透增強劑等其他新方法融合使用后可以克服這些局限性[1]。

圖1. 各類促滲方法
根據藥物的物理化學性質,有多種方法可以增強藥物的滲透性,包括化學方法、物理方法、生化方法和前藥技術等。同時根據促滲方式的不同,可分為主動和被動方法。通常,主動方法包括使用外部刺激,如機械、電和物理刺激來提高藥物向皮膚的遞送速率。被動方法主要涉及使用化學增強劑來增強藥物在皮膚上的滲透性,并進一步利用新的載體方法來增加藥物的溶解度。
1.物理方法
物理方法包括離子電滲療法、電穿孔、聲電滲透、微針、無針噴射注射器等,如下圖所示。這些技術主要遵循兩個原則,即通過粒子加速器將粒子或藥物輸送到皮膚中(如無針噴射注射器),以及使用梯度場誘導的對流遞送藥物粒子(如離子電滲療法、聲電滲透、磁電滲透)。

圖2. 物理滲透技術
1.1
離子導入離子電滲療法是指利用較低電流(通常小于0.5mA/cm2)作為驅動力,增加帶電或中性分子的局部和透皮遞送的一種技術[2]。由陽極、陰極和電源組成可將離子吸引到電極附近或遠離電極,通過產生離子通量來促進有效成分進入或穿過皮膚,如下圖所示。此過程主要通過兩種機制進行轉運:電排斥和電滲作用。帶電分子可通過電排斥作用作為驅動力轉運至皮膚,而中性分子則通過電滲作用進入皮膚,當電極施加電流時會伴隨水的流動,因此帶動藥物分子的滲透。

圖3. 離子導入促滲原理
1.2
超聲促滲超聲促滲是指應用超聲波通過皮膚膜輸送治療藥物,它也被稱為聲透療法。1954年首次報道氫化可的松藥物通過超聲技術穿過皮膚屏障,用于治療指關節多發性關節炎[3]。雖然在皮膚滲透方面有著重要作用,但其工作原理的仍不清楚。有研究認為,超聲沖擊波在結構上修飾了角質層的脂質以產生擴散通道,而高壓微射流則物理破壞了脂質雙層。其他理論認為,超聲電滲的過程歸因于靠近皮膚的微流,這會引起剪切應力以拉伸角質層并產生透皮給藥通道。
1.3
微針微針主要由硅、金屬或聚合物等材料制備而成,長度一般在幾十微米到幾毫米,尖端直徑小于幾十微米。它能以微創的方式刺穿皮膚的角質層,在皮膚表面形成可逆微通道,使目標成分到達皮膚指定深度[4]。同時,通過控制微針插入皮膚的深度,避免觸及皮下痛覺神經,可以提高使用舒適感。目前根據微針的應用,可將微針分為組織預處理微針、包衣微針、可溶性微針、空心微針。

圖4. 微針示意圖
2.化學方法
增強透皮滲透的化學方法包括使用各種化學或生化試劑,這些物質可與角質層成分相互作用,以改變皮膚屏障功能并增加滲透性。醇類、酰胺類、脂肪酸衍生物及各類表面活性劑等作為化學滲透增強劑。但存在一定的不良的皮膚刺激性、過敏或毒性,為了減少皮膚損傷,可選用磷脂衍生物、多肽和酶等生化試劑作為促滲劑。此外,制備不同新型藥物載體在促滲增強性和安全性更具優勢,如納米乳、包合物、脂質體及新型脂質體、納米囊泡以及樹枝狀大分子等。
2.1
納米乳納米乳是由油相、水相、表面活性劑和助表面活性劑按適當比例形成的一種穩定透明、低黏度各相同性且熱力學穩定的分散體系, 只要四相的組成適當, 即可形成均勻透明或略顯乳光的液體, 為熱力學穩定體系。納米乳可增強有效成分的滲透性,同時包容不同脂溶性的物質,提高難溶性物質的溶解度。對易于水解的物質制成油包水型納米乳可起到保護作用,提高不穩定物質的穩定性。
2.2
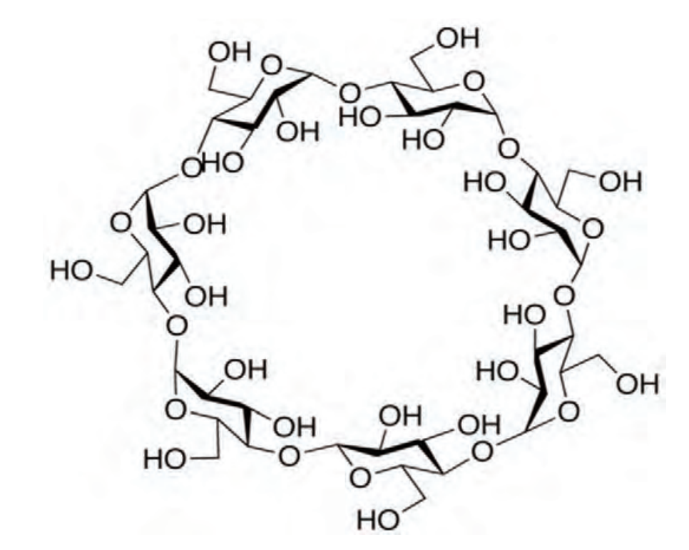
包合物包合物技術是一種超微型載體,其主要使用的載體材料是環糊精。環糊精是一種環狀低聚糖,含有至少6個D-吡喃葡萄糖單元,環糊精分子略呈錐形的中空圓環立體結構。由于含有非極性空腔和親水性表面,活性物分子能進入環糊精內腔形成包合物。通過與環糊精絡合不僅可以增強活性成分在水中的溶解度,還可以促進成分的透皮吸收,主要的促滲機制為環糊精可增加活性物在皮膚角質層的分配系數,并且能使皮膚角質層疊狀角質細胞發生重排,便于環糊精通過,從而促進活性物透皮速率增大。

圖5. 環糊精分子結構圖
2.3
脂質體脂質體是由脂質雙分子層所形成的一種超微球形載體制劑, 是納米載藥系統的典型代表。當兩性分子如磷脂分散于水相時, 分子的疏水尾部聚集在一起, 親水頭部暴露在水相, 形成具有雙分子層結構的封閉囊泡。在囊泡內水相和雙分子膜內可以包裹多種不同極性的藥物。

圖6. 脂質體結構圖
脂質體被廣泛用作化妝品活性組分的傳送體系,不僅自身具有很好的護膚效果,還能很好地穩定和保護有效組分。天然的卵磷脂作為脂質體的壁材,不僅是生物細胞膜的組成成分,具有優越的乳化能力,還具有可促進經皮吸收、加強保濕效果以及緩和刺激等功效。因此脂質體被廣泛用作化妝品活性組分的傳送體系。但脂質體滲透效率有限,針對此問題,出現了很多脂質體衍生物,如類脂囊泡(Niosomes)、醇質體(Ethosomes)、傳遞體(Transfersomes)和醇傳遞體(Transethosomes)等。
促滲技術在化妝品中非常重要,它可以幫助有效活性成分更好地滲透皮膚,增強其吸收和功效。這類技術可以改善化妝品的質地、配方或使用方式,提高有效成分的滲透率,從而增強產品的效果。同時不同的促滲技術的應用,還可以在不同方面提高功效,如微針還可刺激膠原蛋白的再生,脂質體本身具有一定保濕、抗氧化的作用。因此,促滲技術對于化妝品的品質和性能至關重要。
參考文獻
[1]. Phatale, V., et al., Overcoming skin barriers through advanced transdermal drug delivery approaches. J Control Release, 2022. 351: p. 361-380.
[2]. Bakshi, P., et al., Iontophoretic skin delivery systems: Success and failures. Int J Pharm, 2020. 586: p. 119584.
[3]. Seah, B.C. and B.M. Teo, Recent advances in ultrasound-based transdermal drug delivery. Int J Nanomedicine, 2018. 13: p. 7749-7763.
[4]. Yang, D., et al., Microneedle-mediated transdermal drug delivery for treating diverse skin diseases. Acta Biomater, 2021. 121: p. 119-133.

